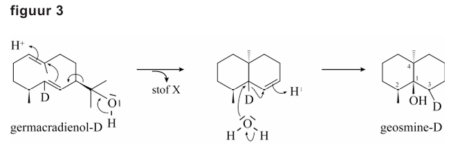
Als na een langere periode van droogte in de zomer een regenbui valt, ruik je buiten een karakteristieke geur. Deze geur wordt mede veroorzaakt door de stof geosmine. Geosmine wordt geproduceerd door bepaalde bacteriën in de bodem. In figuur 1 zijn de volledige en de schematische structuurformule van (-)-geosmine weergegeven. Deze isomeer van geosmine is de enige stereo-isomeer die wordt gevormd door de bacteriën.

In het laboratorium is het spiegelbeeld van (-)-geosmine gesynthetiseerd.
Teken de schematische structuurformule van het spiegelbeeld van (-)-geosmine.

Voor nakijken en persoonlijke tips van de AI-docent: Maak een foto van jouw antwoord of type het in.







