Na de vorming van fluorcitroenzuur treden in het actieve centrum van het enzym aconitase de volgende processen na elkaar op:
stap 1: Een molecuul fluorcitroenzuur wordt omgezet tot een molecuul water en een molecuul fluor-cis-aconietzuur.
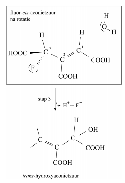
stap 2: Vervolgens roteert het molecuul fluor-cis-aconietzuur 180∘ in het actieve centrum.
stap 3: Daarna wordt het molecuul fluor-cis-aconietzuur met een molecuul water omgezet tot een molecuul trans-hydroxyaconietzuur.
Het trans-hydroxyaconietzuur kan niet meer loskomen uit het actieve centrum, waardoor de stofwisseling van een dier dat de plant eet, wordt ontregeld. In een molecuul trans-hydroxyaconietzuur staan de COOH-groepen in een trans-configuratie ten opzichte van elkaar. Op de uitwerkbijlage is de omzetting van fluor-cis-aconietzuur volgens stap 3 onvolledig weergegeven.
In het actieve centrum van aconitase is een kubusvormig cluster met de formule Fe4S42+ gebonden aan de peptideketen. In figuur 3 is dit cluster schematisch weergegeven, waarbij ladingen zijn weggelaten. Het cluster Fe4S42+ is opgebouwd uit ijzerionen en sulfide-ionen. De ladingen van de aanwezige ijzerionen en de sulfide-ionen wijken niet af van de gebruikelijke ladingen.
Geef voor elke ionsoort die in het cluster aanwezig is de lading en het aantal deeltjes.