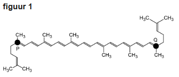
Lycopeen () is een rode kleurstof die bijvoorbeeld in tomaten voorkomt. Een Lycopeenmolecuul bestaat onder meer uit een lange keten van koolstofatomen. Zie figuur . Het absorptiespectrum van lycopeen staat afgebeeld in figuur .
De dubbele bindingen in de lange keten tussen de punten en in figuur leveren de zogenaamde . Deze elektronen kunnen vrij bewegen tussen en . We beschouwen het lycopeenmolecuul daarom als een één-dimensionale energieput, gevuld met . We nemen aan dat de lengte van de put gelijk is aan de afstand , de afstand tussen en langs de keten. Dus is keer zo lang als de gemiddelde afstand van tussen twee koolstofatomen in de keten. Op basis hiervan kan de grootste golflengte berekend worden die door het molecuul geabsorbeerd kan worden.
Toon met een berekening aan dat deze maximale golflengte groter is dan de waarde die volgt uit figuur .


Voor nakijken en persoonlijke tips van de AI-docent: Maak een foto van jouw antwoord of type het in.